点击化学的发展过程及展望
发布时间:2022-11-03 分享至:
点击化学概述点击化学被称作链接化学、动态组合化学,属于一个模块合成概念,为一种选用易得原料,经过模块化、较高效率的化学转变,进而实现碳杂原子连接(c-s-c),通过应用合成各类新化合物组合化学方法。
点击化学发展过程:
莫滕·梅尔达尔于一次实验中发现了一种铜离子催化反应,并于2002年发表相关论文称该反应能够促使许多分子结合成一体。
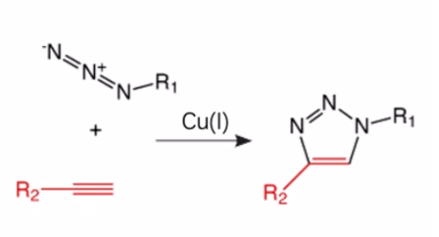
卡尔·巴里·沙普利斯在2001年发表了一篇论文,内容是关于铜催化的叠氮化物和炔烃之间反应,该反应在水中也能发生。而这个反应类型的发现让点击化学在化学合成上有了突飞猛进的发展,许多新化学材料的合成因为点击化学变得可能。
因为铜离子对生物体是有害的,所以点击化学并没有向生物领域发展。而解决这个问题的是卡罗琳·贝尔托齐,她发现早已有研究表明了在特殊情况下可以发生无铜催化的点击化学反应,并于2004年发表相关论文。随后,她也不断地研究并发展生物体内的点击化学反应。

点击化学作为简单有用的分子连接技术现已成为生物标记、药发现及药化学等生物领域的重要研究工具,特别是生物正交反应使得点击化学的内涵及外延不断得到拓展。
虽然点击化学具有诸多优点,在面对不同的需求时,在反应速率、反应效率、底物易得性、操作简便性、生物相容性等方面或多或少还存在改进空间。作为基础工具,除了基础的分子连接作用以外,目前也有很多研究在探索点击化学在分子结构剪切方面的机制及应用。