点击化学-铜催化叠氮和炔基环加成反应线型聚合物的应用
发布时间:2022-11-10 分享至:
金属Cu(I)催化叠氮和炔基的环加成反应(Cu-Catalyzed Azide-AlkyneCycloaddition,简称CuAAC)是一类有机合成的方法。有机叠氮化物和高活性炔(酰基腈、磺酰基腈或酰基炔)在加热条件下生成三唑的反应,该反应具有可靠、稳定的特点。
CuAAC点击化学反应突破了传统的复杂合成方法,通过简单的操作和温和的反应条件来合成具有特殊性能的结构,或者取代传统难以合成或产率较差的产品。作为一种新型的聚合手段,CuAAC点击化学在高分子合成中得到应用。
CuAAC反应在线型聚合物中的应用:
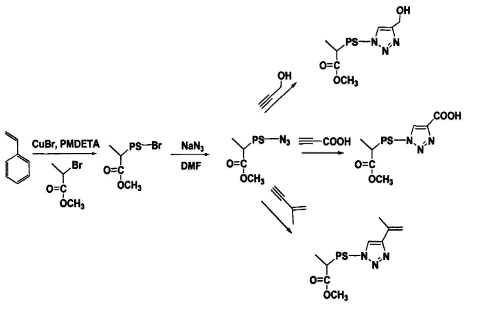
将CuAAC点击化学反应应用到线型聚合物中主要可以归纳为两类:一类是利用CuAAC 反应将各种功能基团连接到聚合物的侧基或者端基上,得到功能化的聚合物,称为“改性聚合物":另一类纯粹是通过炔基和叠氮基的点击反应来得到新型结构的聚合物,称之为“构建聚合物”"。
