CuAAC点击化学改性ATRF/NMP聚合物
发布时间:2022-11-10 分享至:
在改性聚合物方面,CuAAC反应可以与原子转移自由基聚合(Atom Transfer Radical Polymerization, ATRP) ,关于氮氧自由基调控聚合( Nitroxide Mediated Polymerization,NMP)链接修饰。
ATRP聚合物中常见的端基卤原子易与 NaN3反应变成叠氮基;两者用了类似的催化剂,ATRP反应中应用较广的CuBr同样可以在CuAAC反应中起到催化作用。
点击化学对ATRF聚合物羧基功能改性:
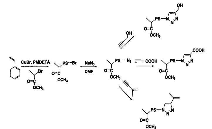
CuAAC点击化学反应对于ATRP聚合物的进行端基改性:以CuBr/溴丙酸甲酯(MBP)/ N,N,N',N",N"-五甲基二乙烯基三胺(PMDETA)为催化体系得到了带有溴端基的聚苯乙烯聚合物(M.=2700,d=1.11),在DMF中进行叠氮化后与多种炔基化合物(炔丙醇,炔丙酸,2-甲基丁-1-烯-3-炔)反应得到了不同功能端基的聚合物。

点击化学对NMP聚合物侧基功能改性:
利用NMP合成的聚合物,先得到对三甲硅乙炔基苯乙烯,然后在氮氧引发剂的作用下与苯乙烯反应得到二者的无规共聚物,在四丁基氟化铵(TBAF)作用下侧链脱去三甲硅基而变成端炔基,与有机叠氮化物在Cu(PPh);Brl二异丙基乙胺(DIEPA)催化体系下进行反应合成NMP引发剂,并且利用这种引发剂合成了多种嵌段共聚物。
