试剂家Gal-CS聚己内酯接枝半乳糖化壳聚糖(Gal-CS-g-PCL) 衍生物-合成步骤及图解分享
发布时间:2022-12-06 分享至:
gal-CS-g-PCL的介绍
壳聚糖和己内酯都对生物体有很好的相溶性,而且很容易控制降解速度以及对药物的释放等的特性。半乳糖化修饰的壳聚糖接枝聚己内酯( gal-CS-g-PCL)具有以下优点:
1.单纯的壳聚糖和己内酯能很好地在生物体内被降解
2.和血液能不产生排斥和抵抗,与生物体能够很好地相容和并。
3.具有对细胞特定的靶向功能。
以下是聚己内酯接枝的半乳糖化的壳聚糖(Gal-CS-g-PCL) 衍生物的合成步骤,此过程分两步进行:
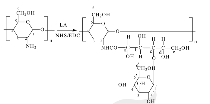
合成半乳糖化的壳聚糖,合成路线如下图1所示:
具体方法:壳聚糖溶解在吗啉酸中,并不断的搅拌,与此同时,将乳糖酸在NHS和EDC盐酸盐的混合物中活化两个小时,将此两种物质混合在一-起,室温下搅拌72小时,并用羟胺将溶液浓度调到10mM来终止反应。将此复合物在流水中透析,并冷冻干燥低温保存。

上图半乳糖化的壳聚糖的合成图
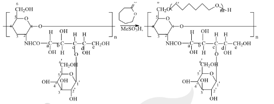
第二步是合成半乳糖化的壳聚糖接枝聚己内酯(Gal-CS-g-PCL)复合物,合成路线如图2所示:
具体方法:将冷冻干燥的半乳糖化的壳聚糖加入到一圆底三口瓶中,并且不同通入氮气以保护反应体系,使此反应体系在氧的条件下进行,以避免氧气对甲基磺酸的氧化作用,此外,反应温度在45"C,并且持续5个小时,反应停止以后,立即导入冰的含有磷酸二氢钠和氢氧化钠的混合液中以终止反应。等冷却后,在流水中透析3-5天,以除去未反应的小分子物质和杂质,达到纯化的目的。

上图半乳糖化的壳聚糖接枝聚己内酯合成图

上图红外图谱表明了壳聚糖,半乳糖化的壳聚糖以及半乳糖化的壳聚糖接枝聚己内酯之后的红外透过峰
X射线衍射分析是一种证明共聚物结构在固体粉末状态下的有用的方法。经过对图4不同的峰值的的分析,可以验证聚己内酯接枝率在不断增加,由此可以证实半乳糖化的不同聚己内酯接枝率的壳聚糖合成成功。
对壳聚糖以及不同聚己内酯接枝率的X射线衍射表征
试剂家科研--可定制以下相关产品:
半乳糖修饰人血清白蛋白
半乳糖修饰葡萄糖氧化酶(GOD)
半乳糖修饰大孔壳聚糖支架
半乳糖修饰莪术醇脂质体
半乳糖修饰巯基化壳聚糖季铵盐纳米粒
半乳糖修饰酸度敏感聚合物
半乳糖糖基化修饰蓖麻毒素A链(ricin toxin A,RTA)
半乳糖修饰壳聚糖-聚己内酯纳米微球
半乳糖修饰反义硫代寡核苷酸
半乳糖修饰介孔硅核壳纳米载体(GPEM)
半乳糖修饰组氨酸壳聚糖
半乳糖修饰5-氟尿嘧啶(5-FU)
半乳糖修饰聚己内酯
半乳糖修饰海藻酸