试剂家SA海藻酸钠改性之:纳米/合成高聚物/天然大分子/酯化/酰胺化/氧化/交联等改性
发布时间:2022-12-06 分享至:
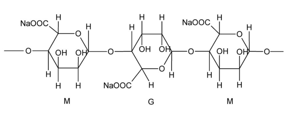
海藻酸钠是一种从褐藻类的海带或马尾藻中提取碘和甘露醇之后的副产物,其分子由β-D-甘露糖醛酸(β-D-mannuronic,M)和α-L-古洛糖醛酸(α-L-guluronic,G)按(1→4)键连接而成。

天然的海藻酸钠分子,由于含有大量的羟基和羧基基团,给海藻酸钠的改性提供了很多修饰位点,为海藻酸钠的改性提供了有利的条件。通常对海藻酸钠的改性方法有物理改性和化学改性两种:
物理改性主要采取的方法是物理共混改性;
化学改性则包括氧化、酰一、共混改性海藻酸钠胺化、酯化、交联、接枝聚合、点击化学等。
海藻酸钠中丰富的羟基合成类聚合物、天然大分子等共混改性海藻酸钠,可以赋予其特定的功能,拓展与羧基可以与其他聚合物形成分子间氢键,增强共混材料的相容性,将纳米材料、应用领域。
1.纳米材料共混改性SA
纳米材料具有特殊的理化性质、比表面积大、机械强度高、可功能化改性等优势,能够提高海藻酸钠功能材料的稳定性。纳米材料在海藻酸钠水凝胶材质中起到支撑作用,使复合凝胶的孔隙更大,促使污染物的吸附扩散到凝胶内部,具有好的协同性。
2. 合成高聚物共混改性SA
合成高聚物,具有原料易得、性能优异、工业化程度高等优点,采用合成高聚物对海藻酸钠进行改性,可提高海藻酸钠薄膜和水凝胶材料的力学性能,高分子聚合上含有大量的活性基团如羧基、氨基等,可以提高海藻酸钠水凝胶的吸附性能以及pH适应范围。
3. 天然大分子共混改性SA
天然生物质大分子与海藻酸钠共混,可以大幅提高海藻酸钠基材料的硬度和耐磨性。目前与海藻酸钠进行共混研究的天然高分子主要有壳聚糖、纤维素、明胶等。
二、化学改性海藻酸钠
1.酯化海藻酸钠
酯化是海藻酸钠改性是海藻酸钠的羧基与含羟基的小分子物质进行的一种反应,由于酯化过程会产生副产物水促使反应向相反方向进行,降低反应效率,因此该反应一般在非水体系中进行,为了提高反应的酯化率,反应时通常加入过量的醇。酯化反应可以消灭亲水性羧基,被认为是提高海藻酸钠疏水性的优异办法。
2.酰胺化海藻酸钠
酰胺化是海藻酸钠的羧基与氨基化合物发生酰胺化反应的过程,反应前需对羧基进行活化,常用的活化剂有1- (3-二甲氨基丙基) -3-乙基碳二亚胺盐酸盐(EDC-HCI)、N,N-二环已基碳化亚胺(DCC)和N-羟基琥珀酰亚胺(NHS)。碳化二亚胺上活泼的碳原子在酸性条件下与海藻酸钠上的羧基反应生成O-酰基脲中间体,然后与氨基化合物发生酰胺化反应在EDC/NHS催化下,通过胶原(collagen peptide) 与海藻酸钠进行酰胺化反应制备了胶原肽接枝的海藻酸钠,此海藻酸钠衍生物具有好的生物活性。
3.氧化海藻酸钠
高碘酸盐具有很高的选择氧化性,只对海藻酸钠的2个仲羟基进行氧化,使糖基单元上C2与C3之间的化学键断裂,形成2个醛基为海藻酸钠的进一步 功能化创造了优越的条件。用叶酸与氨基封端的聚乙二醇反应,制备了叶酸功能化的聚乙二醇(FA-PEG-NH2),然后将其与高碘酸钠氧化的海藻酸钠进行反应,形成了叶酸修饰的聚乙二醇g海藻酸钠(OAL-g -PEG FA),该材料可以实现对抗癌药物阿霉素(DOX)的共价包覆,由于叶酸的靶向攻击和pH/氧化还原双重刺激的响应特性,在人体生理病变时,可以完成对癌变细胞的靶向识别及药物的缓慢释放,不造成对正常细胞的攻击。
4.接枝共聚海藻酸钠
海藻酸钠的接枝共聚是在引发剂作用下,以海藻酸钠上被引发的羟基为活性自由基,与小分子单体进行自由基聚合反应,在海藻酸钠上引入聚合物大分子的过程。自由基共聚具有反应速度快、副产物易去除的优点,因此国内外很多学者对其进行了深入研究。常用的引发剂有硝酸铈铵和过硫酸盐。
5.交联海藻酸钠
海藻酸钠的交联是在交联剂存在作用下,将大分子物质交联到海藻酸钠上实现功能化的过程。海藻酸钠容易与2价金属离子(除镁离子)和小分子交联剂交联形成三维网状结构,在水溶液中表现出聚阴离子行为,常用的交联剂是戊二醛和氯化钙。
6.点击化海藻酸钠
点击化学是一种通过小单元分子的拼接,快速可靠地完成各类分子化学合成的合成方法。与传统化学交联方法相比,具有反应条件简单、反应速度快、产率高、副产物无害、具有很高的立体选择性等特点,在化学合成、药物开发和生物医药材料领域有着广泛的应用。
海藻酸钠复合材料的功能主要由其性质决定,不同的改性剂和改性方法会对其性能产生直接影响。
研究表明:经改性后的海藻酸钠在稳定性、吸附性、耐水性、包埋性等方面都有提高。
三、两种方法分析
物理共混改性方法操作简单,利用分子间氢键作用力和静电吸附作用,可以提高海藻酸钠的机械性能及热稳定性,提升海藻酸钠的理化性能,但是物理改性存在分子间作用力不强,无法从根本上解决海藻酸钠亲水性强的问题。利用酯化、酰胺化、氧化、接枝、点击化学等反应方法,可以消灭海藻酸钠的亲水性基团,提高其抗水性,并且由于特殊官能团和高聚物的引入,赋予海藻酸钠不同的特性,在药物包埋、水污染处理、食品增稠、印染领域有着广泛的应用前景,但是化学改性存在着副产物及化学试剂的残留,需进一步提纯处理。
试剂家定制:
海藻酸钠修饰苯丙氨酸乙酯
海藻酸钠修饰甘露糖
海藻酸修饰生物聚酯膜
海藻酸钠修饰八羧基铜酞菁(CuPc(COOH)8)
海藻酸钠修饰甘草次酸
海藻酸钠修饰PVP
聚乙烯醇-海藻酸钠(PVA-SA)修饰环糊精
海藻酸钠接枝琼脂糖凝胶
海藻酸钠修饰eRGD
海藻酸钠修饰纳米零价铁
海藻酸钠修饰碳纳米管
海藻酸钠修饰WSC纳米粒子
海藻酸钠修饰人转铁蛋白