试剂家总结区分聚乙二醇PEG/线性PEG/甲氧基PEG/支链PEG
发布时间:2022-12-15 分享至:
PEG
聚乙二醇(PEG)是经环氧乙烷聚合而成的,相对分子量在200~8000或者8000以上的乙二醇高聚物,其由重复的氧乙烯基组成,不仅具有良好的水溶性,也能溶于DCM、DMF、苯、乙腈和乙醇等有机溶剂。

线性PEG
PEG有2个末端羟基,具有线性的(相对分子质量为5000~30000)或支化的(相对分子质量为40000~60000)链状结构。线性PEG的分子式为H-(O-CH2-CH2)n-OH,两端都有羟基不利于各种化学反应,于是单甲氧基聚乙二醇mPEG应运而生。

甲氧基mPEG
mPEG是利用甲氧基引发的阴离子开环聚合而成的,其结构式为CH3O-(O-CH2-CH2)n-OH。为了将聚乙二醇与各种活性化合物偶联,对聚乙二醇进行了各种改造将它的末端改造成各种活性官能团,如-COOH、-OH、-SH、-NH2。但聚乙二醇的结构是链式的只有末端可用于修饰偶联药物,因此载药量较低。
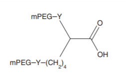
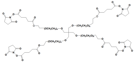
支链PEG
支链聚乙二醇,支链结构在一个或多个端上具有官能团,如末端呈树枝结构的支链PEG、叉状PEG和多臂PEG等,从而实现多种共轭可能性,且增加了载药量。

试剂家PEG产品:
DBCO-PEG4-NHS
TCO-PEG3-Amine
BCN-endo-PEG4-SPA
PLGA10K-MPEG2K
PDLLA-PEG-PDLLA
NHS-PEG3400-MAL
DSPE-SS-mPEG2000
TPP-PEG2000-TK-PLGA
PS5000-g-PEG5000
mPEG5000-TK-NH2
DPPE-PEG2K-COOH
MAL-PEG3.4K-NH2
NHS-PEG2000-MAL
DSPE-PEG2K-PSMA
DSPE-PEG2K-SS31
GGG-PEG3-N3
DSPE-SE-SE-PEG2K-COOH
GalNAc-PEG2000-巯基
mPEG-Silane
PAN3.6K-PEG5K
SH-PEG-Biotin
HO-PEG3.4K-丙烯
Biotin-PEG2K-NHS
PAE10K-PEG5K-MAL
OPSS-PEG5K-PAE10K