Azide叠氮基-L-保护丝氨酸的制备方法简述
发布时间:2023-03-17 分享至:
Azide叠氮基-L-保护丝氨酸的制备方法简述

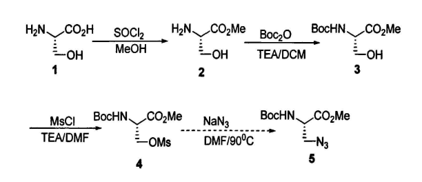
以L-丝氨酸为原料,通过与亚硫酰氯、甲醇甲酯化得化合物2,然后用(Boc)zO保护氨基得化合物3,再将羟基用甲磺酰氯转化为甲磺酰酯4后,以叠氮化钠进行亲核取代得到目标化合物5 。
叠氮化合物是叠蚕酸(HN3)的衍生物,它们的分子特征是含有叠氮基(- N3)。叠蚕化合物具有的叠氮基(-N3) ,两种结构式,即环状结构和线性链状结构。
叠氮化合物主要类型有芳香基叠氮、烷基叠氮、烯经叠氮、β叠氮酮和酰叠氮及其相关化合物。有机叠氮化合物主要是通过含不饱和键及某些极性键的底物与能提供叠氮基的前体发生加成或亲核取代反应获得,常见能提供叠氮基的前体有叠氮酸、叠氮化钠、三甲硅基叠氮(TMSA)、二苯基磷酰基叠氮(DPPA)、叠氮乙酸乙酯(AAE)、叠氮化四丁基铵(TBAA)等,其中常用的是叠氮化钠。
氮化合物的化学性质活泼,光照或加热分解成氮烯,并放出氮气。前者在合成上有着广的用途,特别是在合成含氮杂环化合物方面。
从原理上来说,有机叠氮化合物可用5类方法合成:N3基团的插入反应(取代或加成);N基团的插入反应(重氮转移);N原子的插入反应(重氮化);三嗪或其类似化合物的裂解;叠氮化合物的重排。
试剂家主要经营的产品:磷脂、共聚物、PEG衍生物、PEG小分子、点击化学、荧光标记、生物素、光敏剂、金属骨架、量子点、上转换,合成定制产品:脂质体、多肽、荧光探针、大环化合物、交联剂、介孔材料、四氧化三铁、纳米微球、无极发光纳米、一维二维纳米材料;以及实验室技术定制单品:高分子、PROTAC技术、ADC偶联、微环境响应定制、环状/响应性染料、静电纺丝、离子液体、水凝胶、纳米微针、纳米簇等等。温馨提示:试剂家供应产品仅用于科研,不能用于人体。
相关内容:
Br-PEG6-N3 CAS No.: 2062663-64-1
Br-PEG7-N3 CAS No.: 1056969-61-9
PASP-PEG-N3 ,聚天冬氨酸-聚乙二醇-叠氮
PGA-PEG-N3 ,聚谷氨酸-聚乙二醇-叠氮
Fmoc-NH-PEG-N3,芴甲氧羰酰基聚乙二醇叠氮
3-arm PEG-N3 ,三臂聚乙二醇叠氮化物
N3-PEG-SCM ,叠氮-ω-琥珀酰亚胺乙酸酯基聚乙二醇
N3-PEG-SPA ,叠氮-ω-琥珀酰亚胺丙酸酯基聚乙二醇
N3-PEG-SC ,α-叠氮基--琥珀酰亚胺碳酸酯基聚乙二醇
N3-PEG-SPDP,叠氮聚乙二醇巯基吡啶
N3-PEG-Acrylate,丙烯酸酯-聚乙二醇-叠氮
N3-PEG-Dopamine ,叠氮聚乙二醇多巴胺
N3-PEG-DF ,叠氮聚乙二醇苯甲醛
N3-PEG-CHO, 叠氮聚乙二醇丙醛