Azido-Benzimidazole (ABl),苯并恶唑-叠氮双官能团偶联剂的合成方法
发布时间:2023-03-17 分享至:
Azido-Benzimidazole (ABl),苯并恶唑-叠氮双官能团偶联剂的合成方法

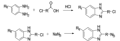
运用化学桥接理论设计合成了一种分子结构中含有苯并咪唑和叠氮双官能团的偶联剂Azido-Benzimidazole (ABl),其中苯并咪唑基团与纤维发生作用,而叠氮基团与PTA树脂中的炔基发生反应,参与树脂固化。
中间体合成:在三口烧瓶中加入0.10mol苯二胺,0.12mol卤代羧酸,70mL 5mol/L HCI回流反应10h,得到棕褐色溶液,静置一夜,5℃下用5mol/L氨水滴定中和至PH为8~10,多次水洗过滤至滤液无色,乙醇重结晶得到淡黄色粉末。
目标产物合成:取中间体与叠氮化钠以摩尔比 1:1.5加入三口烧瓶中,以DMF为反应溶剂,70℃下反应16h,得到红棕色溶液,过滤除去多余的叠氮化钠,用乙酸乙酯萃取并多次水洗去除残余的DMF,旋蒸得到棕褐色产物ABI。
试剂家主要经营的产品:磷脂、共聚物、PEG衍生物、PEG小分子、点击化学、荧光标记、生物素、光敏剂、金属骨架、量子点、上转换,合成定制产品:脂质体、多肽、荧光探针、大环化合物、交联剂、介孔材料、四氧化三铁、纳米微球、无极发光纳米、一维二维纳米材料;以及实验室技术定制单品:高分子、PROTAC技术、ADC偶联、微环境响应定制、环状/响应性染料、静电纺丝、离子液体、水凝胶、纳米微针、纳米簇等等。温馨提示:试剂家供应产品仅用于科研,不能用于人体。
相关内容:
PLGA-SS-PEG-N3 ,MW:2000/双硫键嵌段共聚物
N3-PEG4-NHS, 944251-24-5
N3-PEG8-NH2,叠氮八聚乙二醇氨基
N3-PEG7-NH2,叠氮七聚乙二醇氨基小分子PEG
N3-PEG5-NH2 ,516493-93-9小分子PEG
N3-PEG4-NH2, 951671-92-4小分子PEG
mPEG-N3,甲氧基聚乙二醇叠氮修饰蛋白质
PLA-PEG-N3 ,聚(L-丙交酯)-b-聚乙二醇-叠氮化物
PCL-SS-PEG-N3, MW:5000双硫键共聚物
Biotin-PEG7-N3 ,1334172-75-6
Biotin-PEG5-N3,生物素五聚乙二醇叠氮
Biotin-PEG4-N3 ,875770-34-6
Biotin-PEG3-N3,生物素三聚乙二醇叠氮
N3-PEG4-COOH,叠氮四聚乙二醇丙酸小分子
N3-PEG3-COOH, 172531-37-2单分散小分子
N3-PEG2-COOH ,1312309-63-9小分子