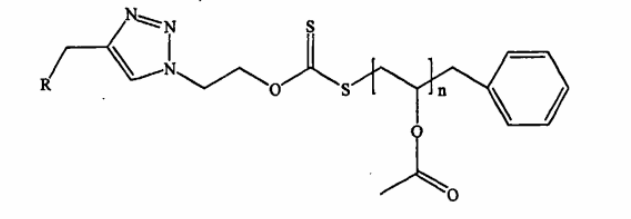
PVAc-N3,末端带有叠氨基团的聚醋酸乙烯酯的制备过程
发布时间:2023-03-17 分享至:
PVAc-N3,末端带有叠氨基团的聚醋酸乙烯酯的制备过程

在5 mL安培瓶中加入一定配比的VAc、引发剂AIBN及AEBDC溶液,通氩气10 min后熔封,置于一定温度的油浴中反应至设定时间。打开封口,用少量四氢呋喃(THF)溶解聚合物,然后将溶液倒入250 mL正己烷中沉淀,重复沉淀两次,收集沉淀物,室温真空烘箱干燥至恒重,称重,计算转化率。
叠氮基团在热或光的作用下可以生成高反应活性的氮宾,可以与聚合物链或材料表面发生反应,因此叠氮聚合物也被广用作交联材料和表面改性材料。许多功能聚合物材料通过叠氮基团与炔基的点击反应被合成出来。
试剂家主要经营的产品:磷脂、共聚物、PEG衍生物、PEG小分子、点击化学、荧光标记、生物素、光敏剂、金属骨架、量子点、上转换,合成定制产品:脂质体、多肽、荧光探针、大环化合物、交联剂、介孔材料、四氧化三铁、纳米微球、无极发光纳米、一维二维纳米材料;以及实验室技术定制单品:高分子、PROTAC技术、ADC偶联、微环境响应定制、环状/响应性染料、静电纺丝、离子液体、水凝胶、纳米微针、纳米簇等等。温馨提示:试剂家供应产品仅用于科研,不能用于人体。
相关内容:
Azide acetamide-C3-PEG3-C3-NH2,
N3-choline,1239916-55-2,Azido-choline,叠氮-胆碱
Bis-sulfone-PEG3-N3,1802908-01-5,双砜-PEG3-叠氮化物
Carbonic acid,(2-Azidephenyl)methyl 4-nitrophenylester
Cis-[Pt-1,3-Propanediamine]-2-C4-N3,点击化学叠氮试剂
di-N3-amine-Linker
Methylamino-PEG3-azide,1355197-57-7甲氨基-三聚乙二醇-叠氮N3-C10-COOH
SH-PEG10-N3,巯基-聚乙二醇-叠氮
Propargyl-PEG1-N3,炔丙基-聚乙二醇-叠氮
932741-18-9,Propargyl-PEG3-N3/Azide ,炔丙基-聚乙二醇-叠氮
N3-PEG4-OH,CAS:86770-67-4
1257063-35-6,Azide/N3-PEG4-COOH,15叠氮基-四聚乙二醇-羧酸
N3-PEG16-Acid
N3-PEG20-Acid
N3-PEG24-Acid
N3-PEG28-Acid
N3-PEG32-Acid