简述六种接枝共聚物的合成途径
发布时间:2022-10-18 分享至:
接枝聚合反应包括了单体在聚合物骨架主链上的聚合,所以原则上能引起聚合反应的方法都可以用来制备接枝共聚物。下面将为试剂家-小家大家介绍六种接枝共聚物的合成途径:
1.链转移法
链转移法是根据动力学历程,可以将乙烯基单体的聚合过程看成是由链引发、链增长、链转移和链终止等基元反应所组成的。在接枝聚合反应中,链转移过程较为重要。通过链转移反应,自由基的活性可以转移给单体、溶剂分子、转移剂分子(例如硫醇等)和聚合物分子等。

2.活性基团法
通过对骨架主链的聚合物进行化学处理,将一些具有反应活性的单元引入聚合物链。例如,用五氯化磷处理丙烯酸酯类的聚合物或其共聚物,然后使之与过氧化氢反应,就可形成一种过酸酯。后者通过分解即得到可供接枝的活性部位。
3.辐射法
紫外光的能量较低,所适宜于对聚合物的表面接枝。利用对紫外光比较敏感的染料或其它光敏引发剂进行激活,可以增加接枝聚合物的产量。光敏基团也可以是骨架聚合物链的组成部分,例如处在侧基部位的氯原子可以发生光解作用,从而得到可供接枝的活性部位。
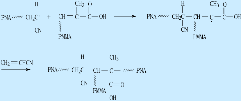
4.加成聚合法和开环聚合法
大分子自由基在遇到外加的含有不饱和键的大分子时,可以发生加成反应。继而再与单体反应,然后形成接枝聚合物。例如聚丙烯腈—g—甲基丙烯酸甲酯就是通过聚丙烯睛大分子自由基与聚甲基丙烯酸甲酯分子端部的双键进行加成而得到。

5.离子聚合反应法
利用离子聚合反应可以合成接枝聚合物。例如,在含有对氯甲基聚苯乙烯的二硫化碳溶液中,用溴化铝作引发剂,可使异丁烯发生碳阳离子的聚合反应,形成聚苯乙烯—g异丁烯接枝共聚物。
6.大分子单体法
大分子单体(Macromer)是指在分子链上带有可聚合基团的齐聚物,通过大分子单体的聚合可获得接枝共聚物,他们可以综合完全相反的性能,如软/硬、结晶/非晶、亲水/疏水、极性/非极性、刚性/韧性等,其中许多大分子单体已经用于功能性高分子的制备。
