简介聚乙二醇活化的六种方法
发布时间:2022-10-25 分享至:
聚乙二醇活化方法
1.羰基二咪唑法:该方法原先用于多肽的合成,被证明是形成酰胺键的良好试剂。

2.N-羟基琥珀酰亚胺法: 先将N,N-琥珀酰亚胺碳酸酯活化,此反应也需要在无水条件下进行。再将琥珀酸酐及 N-羟基琥珀酰亚胺活化,该方法活化得到的聚乙二醇活性较高,在非水环境中进行蛋白的偶联。

3.氰脲酰氯法:氰脲酰氯又名三氯化嗪(TST) 是对称杂环化合物,利用 TST 与聚乙二醇上的羟基反应只有一个氯原子被取代,其它的氯原子与蛋白质的氨基反应。

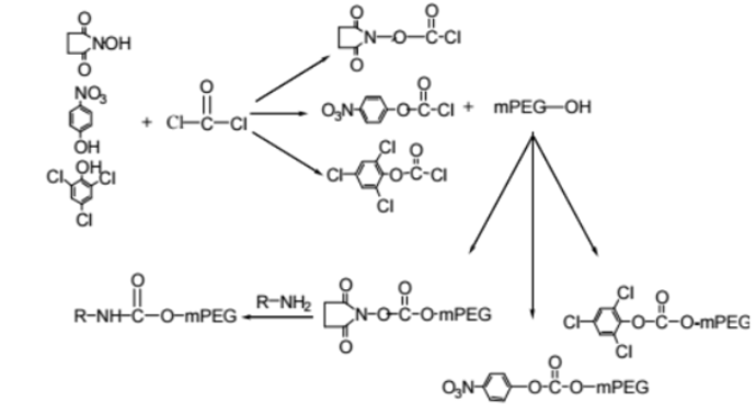
4.光气参与的活化方法:分别用 N-羟基琥珀酰亚胺钾盐、硝基苯酚及三氯苯酚与光气反应制备活化聚乙二醇。

5.疏基的PEG:聚乙二醇对蛋白质的半胱氨酸残基的化学修饰。

6.酶法定点连接聚乙二醇:除了传统的化学修饰方法,也可以通过其它途径如酶催化来达到修饰的目的。
