-
试剂家纳米微针单品:聚乳酸羟基乙酸共聚物微针
试剂家纳米微针单品:聚乳酸羟基乙酸共聚物微针
02.272023more -
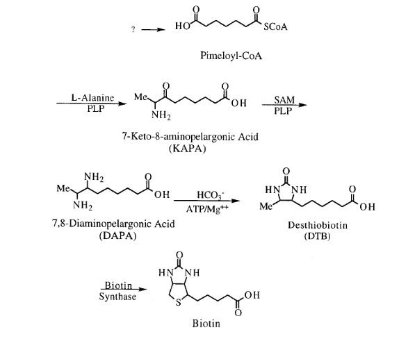
试剂家——生物素的发现过程及其合成
试剂家——生物素的发现过程及其合成
02.232023more -
光固化水凝胶-甲基丙烯酰化明胶(Gelma)
光固化水凝胶-甲基丙烯酰化明胶(Gelma)
02.212023more -
试剂家总结生物素性质及其合成
试剂家总结生物素性质及其合成
02.202023more -
生物素化试剂——羰基反应性生物素化试剂
生物素化试剂——羰基反应性生物素化试剂
02.152023more -
AC-PEG2000-Silane,Silane-PEG-Acrylate 硅烷和丙烯酸酯修饰的线性双功能PEG衍生物
丙烯酸酯-PEG-硅烷是具有丙烯酸酯和硅烷基团的线性杂双功能PEG试剂。它是一种有用的带有PEG间隔基的交联剂。丙烯酸酯可与紫外光或自由基引发剂聚合形成PEG水凝胶,硅烷可与玻璃或其他羟基化表面反应。...
02.152023more -
生物素化试剂——伯胺反应性生物素化试剂
生物素化试剂——伯胺反应性生物素化试剂
02.132023more -
二碘代二苯乙烯基-氟硼荧(BODIPY)-4-(二苯氨基)苯乙炔偶联苯乙酸酯应用于DSSC 试剂家科研分享
4-(二苯氨基)苯乙炔偶联苯乙酸酯-二碘代二苯乙烯基-氟硼荧(BODIPY)应用于DSSC
02.102023more