-
72040-63-2;Biotin-C5-NHS Ester;生物素化-epsilon-氨基己酸-N-羟基丁二酰亚胺活化酯
产品名称:72040-63-2;Biotin-C5-NHS Ester;生物素化-epsilon-氨基己酸-N-羟基丁二酰亚胺活化酯Biotin-C5-NHS Ester 是一种 PROTAC lin...
06.282024more -
N3-PEG-Biotin;956748-40-6;叠氮聚乙二醇生物素
产品名称:N3-PEG-Biotin;956748-40-6;叠氮聚乙二醇生物素N3-PEG-Biotin是一种由叠氮基团(N3)、聚乙二醇(PEG)和生物素(Biotin)组成的化合物,具有良好的化...
06.282024more -
生物素-PEG-胺,Biotin-PEG-NH2,生物素-聚乙二醇-氨基
产品名称:生物素-PEG-胺,Biotin-PEG-NH2,生物素-聚乙二醇-氨基英文名称:Biotin-PEG-NH2生物素-聚乙二醇-氨基(Biotin-PEG-Amine)是一种常用的化学修饰物...
06.282024more -
甲氧基聚乙二醇生物素;mPEG-Biotin
产品名称:甲氧基聚乙二醇生物素;mPEG-Biotin描述:mPEG-Biotin,即甲氧基聚乙二醇生物素,是一种重要的生物素化试剂。它由甲氧基聚乙二醇(mPEG)和生物素通过化学反应结合而成。这种化...
06.282024more -
CGP 53353;145915-60-2;5,6-二[(4-氟苯基)氨基]-1H-异吲哚-1,3(2H)-二酮
产品名称:CGP 53353;145915-60-2;5,6-二[(4-氟苯基)氨基]-1H-异吲哚-1,3(2H)-二酮中文名 5,6-二[(4-氟苯基)氨基]-1H-异吲哚-1,3(2H)-二酮英...
06.282024more -
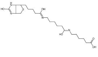
89889-51-0;Biotin-C5-amino-C5-amino
产品名称:89889-51-0;Biotin-C5-amino-C5-aminoBiotin-C5-amino-C5-amino 是一种 PROTAC linker,属于 alkyl chain 类。...
06.282024more -
305372-39-8;Biotin-PEG2-Mal
产品名称:305372-39-8;Biotin-PEG2-MalBiotin-PEG2-Mal 是基于 PEG 结构的 PROTAC linker,可以用来制备 PROTAC。中文名 N-生物素基-N...
06.282024more -
Biotin-PEG-triethoxysilane (MW 1000/2000)主要应用于生物技术和生物医学领域
产品名称:Biotin-PEG-triethoxysilane产品名称与结构:名称:Biotin-PEG-triethoxysilane结构:由生物素(Biotin)、聚乙二醇(PEG)和三乙氧基硅烷...
06.282024more