试剂家分享-多肽标记常用荧光染料FITC/TAMRA/ATTO
发布时间:2023-01-31 分享至:
一、异硫氰酸荧光素(FITC)
羧基荧光素在使用前要被激活,与之相比异硫氰酸荧光素(FITC)更具活性,FITC主要是与巯基或者伯氨反应,如还原型半胱氨酸的侧链,尤其是多肽或蛋白中的氨基。
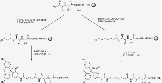
在很多应用中,荧光基团可以在化学合成的过程中引入,在选择性地去掉保护基团后,FITC可以与赖氨酸(Lysine)或鸟氨酸(Ornithine)侧链反应,或者与在合成过程中的多肽N端氨基反应。在N端标记时,在氨基和异硫氰酸盐反应形成的硫脲键之间会引入一个烷基间隔基,如氨基己酸(Ahx)。

二、四甲基罗丹明(TAMRA)

四甲基罗丹明(TAMRA),基于TAMRA的探针在细胞内分布均匀,在细胞质中扩散有效果。与FITC相比,TAMRA发色团具有多种优势,例如TAMRA比FITC表现出抗光漂白能力。
FITC通常在494nm处激发,在520nm处发射荧光,而TAMRA的吸收峰值和发射峰值分别在546nm和580nm。更重要的是,TAMRA有一个额外的正电荷,可能会增加TAMRA与目标化合物之间的相互作用,从而促进探针与化合物的结合。与Cy3相似,TAMRA非常稳定且明亮,因此是一种荧光基团。而且,FITC和TAMRA标记可以组合使用,因为它们有不同的激发波长和发射波长,并且不会相互淬灭。
通常FITC等染料可任意标记在多肽N端或C端。但我们推荐N端标记,其成功率更高、所需时间更短、更易操作。由于多肽都是从C端往N端合成,所以N端修饰将是固相合成的,不再需要额外的偶联步骤。相反,如果是C端标记,则需要附加步骤,而过程会更复杂。
三、单分子荧光染料——ATTO系列荧光染料
Atto染料可以用来取代普通的荧光染料。Atto染料具有更好的光稳定性和耐臭氧性,更长的信号寿命,更低的背景以提高灵敏度。它们是使用可见光和近红外发射波长的复合技术的理想选择。例如Atto 488就是荧光素和Alexa Fluor 488的优良替代品, Atto 550是罗丹明染料、Cy3和AlexaFluor 550的替代品,能产生具有更好的光稳定性和更亮的荧光的共轭物。