试剂家介绍荧光多肽偶联物-ICG标记两亲性三嵌段多肽制备及应用特点
发布时间:2023-02-02 分享至:
多肽是一类由若干个氨基酸通过肽键连接而成的化合物。经过荧光标记的多肽常用来检测目标蛋白的活性,并将其发展的高通量活性筛选方法应用于疾病治疗靶点蛋白的药物筛选和药物开发(例如,各种激酶、磷酸酶、肽酶等)。
ICG是一种功能性的染料分子,具有独特的光物理、光化学的特性,可以进行激光介导,两亲性三嵌段聚多肽载ICG可以减少ICG发生聚集而分解,稳定性增强。
两亲性三嵌段聚多肽载ICG胶束的制备是将聚乙二醇-b-聚赖氨酸-b-聚亮氨酸三嵌段杂化聚多肽(PEG-PLL-PLLeu)和吲哚青绿(ICG)按质量比混合均匀,加入有机溶剂得到混合溶液;将混合溶液进行透析,得到两亲性三嵌段聚多肽载ICG胶束。
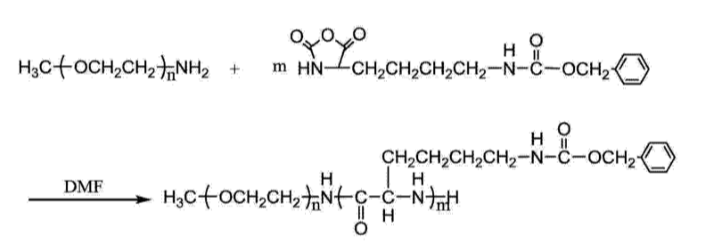
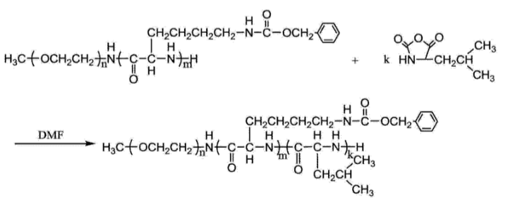
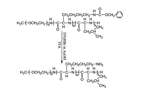
聚乙二醇-b-聚赖氨酸-b-聚亮氨酸三嵌段杂化聚多肽(PEG-PLL-PLLeu)制备方法:
1.MPEG-b-PZLL的合成,将MPEG-NH2和赖氨酸酸酐合成得到MPEG-b-PZLL;

2.PEG-b-PZLL-b-PLLeu的合成,将步骤1的MPEG-b-PZLL和亮氨酸酸酐合成得到MPEG-b-PZLL-b-PLLeu;

3.MPEG-b-PZLL-b-PLLeu的Z基团脱保护,将步骤2的MPEG-b-PZLL-b-PLLeu加入乙醇、三氟乙酸得到聚乙二醇-b-聚赖氨酸-b-聚亮氨酸三嵌段杂化聚多肽;

这个两亲性三嵌段聚多肽载ICG胶束具备空间稳定性以及长循环等特点,ICG标记具有出色的荧光性能、光热转换能力以及良好的被动靶向性、生物相容性和可降解性,可以实现对CA或组织进行光学成像和光热调养。
除ICG外,常用的荧光染料还有:异硫氰酸荧光素、羧基荧光素、羧基四甲基罗丹明、Cy3、Cy5、Cy7、Bodipy等等。